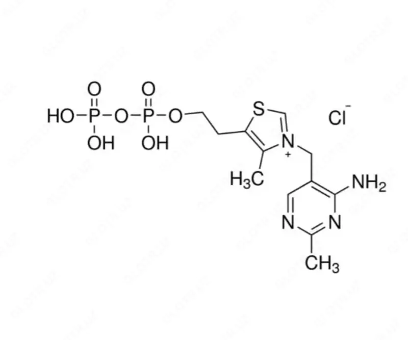
PHR1369-500MG Тиаминпирофосфат, вторичный фармацевтический стандарт; Сертифицированный эталонный материал, 500мг

Артикул: PHR1369-500MG В наличии
4 183 000 сум / шт.
Описание

Синонимы : тиаминпирофосфат, анейринпирофосфорная кислота, кокарбоксилаза, тиаминпирофосфатхлорид.Эмпирическая формула (обозначения Хилла) : C 12 H 19 ClN 4 O 7 P 2 S.

Glotr-b Glotr-b w1
0 0
Результаты (0) Все товары